馬拉松發電機下垂特性是因為發電機帶載運行,有功率就要靠動機來分配,無功率就靠發電機分配發電機功率增加轉速下降,就會出現馬拉松發電機下垂特性。那么,馬拉松發電機下垂特性怎么調整呢?下面我們就來了解一下怎么調整馬拉松發電機下垂特性。

1、馬拉松發電機一次調頻會出現有差調節過程,發電機組輸出的功率增加,頻率就會下降,發電機的輸出功率和頻率之間為有功頻率特性。
2、通過P/f下垂控制和Q/V下垂控制獲取頻率和電壓,對發電機輸出的有功功率和無功功率進行控制。
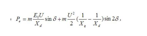
3、有功功率計算方式:

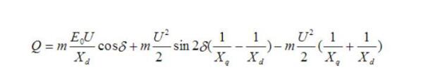
4、無功功率計算方式:

5、通常馬拉松發電機下垂特性實現電網中微電源并聯運行,通過下垂特性得到輸出電壓頻率和幅值,合理分配有功功率和無功功率。
6、低壓微電網線路組的影響,使有功功率和無功功率的電壓和頻率還是存在關系。
7、發電機一般都會安裝下垂補償電流互感器,將電流相位角反饋至AVR來完成。
8、電流互感器取樣電阻裝在AVR板上,電阻部分電壓加至AVR線路,旋轉下垂調節電位器調整下垂。
9、各臺發電機無功分配平等環流小,也可增大或見效電壓使無功接近零,但應保證電壓在規定范圍內。
馬拉松發電機下垂特性調整主要是輸出電壓頻率和電流,如何合理的分配有功功率和無功功率,才能使得馬拉松發電機下垂特性調整好,而算出馬拉松發電機有功功率和無功功率公式也是其中的一個步驟,操作起來其實也挺復雜的,可以找專業人士調整馬拉松發電機下垂特性。
馬拉松,發電機,下垂,特性,怎么,調整,馬拉松,
公司地址 : 上海市嘉定區寶安公路2999弄
公司郵箱 : 19121986111@163.com
公司電話 :?021-6992-5088